AI가 학습자의 실제 행동의 변화를 이끄는데 효과적일까?
1. 연구의 목적
(1) 교육 현장에 깊숙이 침투한 AI 기반 중재가 학습자의 자기조절 학습(SRL)과 그 하위 차원(인지/메타인지, 동기/정서, 행동), 그리고 자기주도 학습(SDL) 역량에 미치는 영향의 크기와 조건을 체계적으로 분석함
(2) 특히 AI가 단순히 학습 성과를 높이는 것을 넘어, 학습자의 자율성(Autonomy)을 어떻게 형성하는지 그 기저 기제를 밝히고자 함
2. 연구의 방법
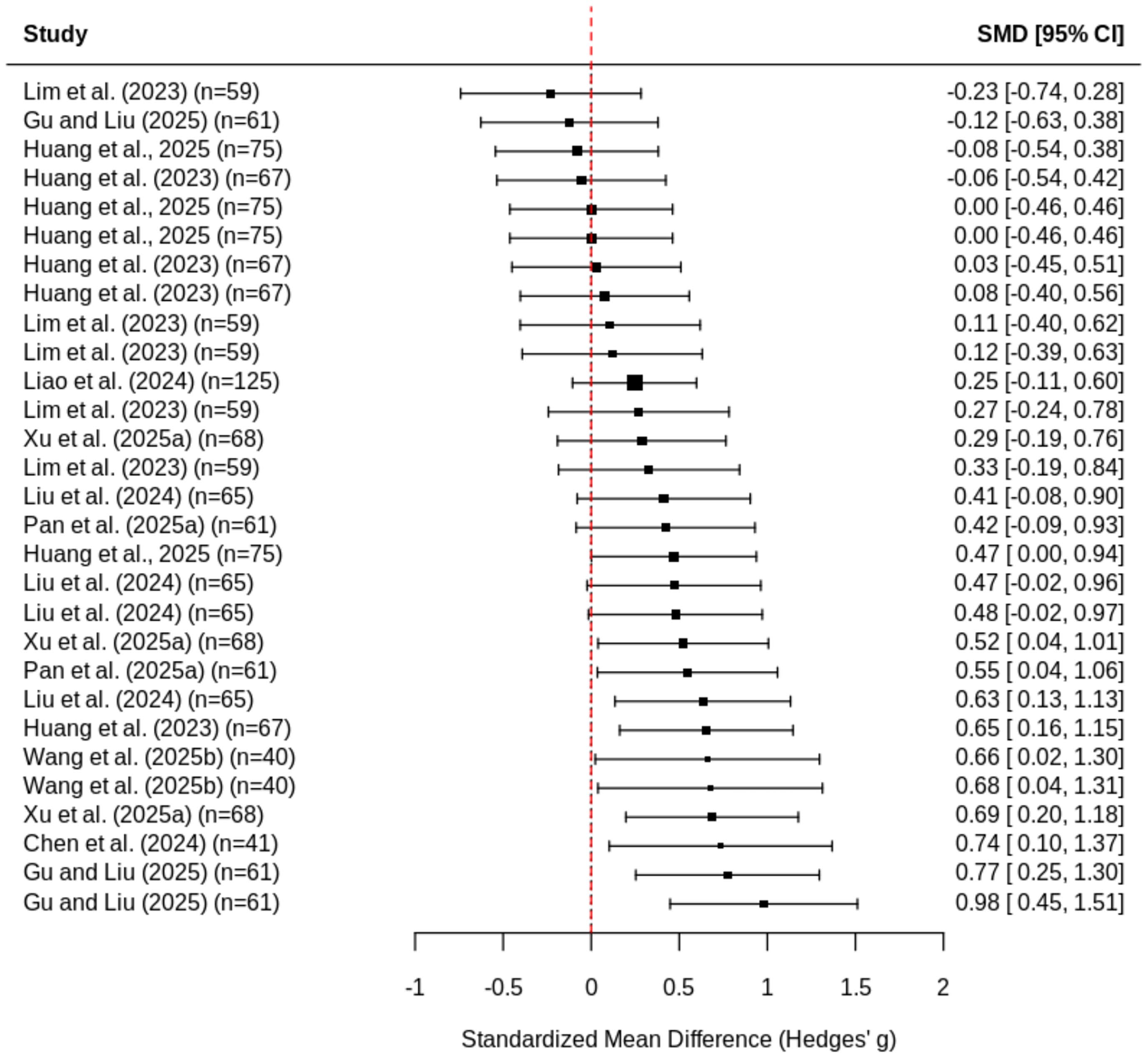
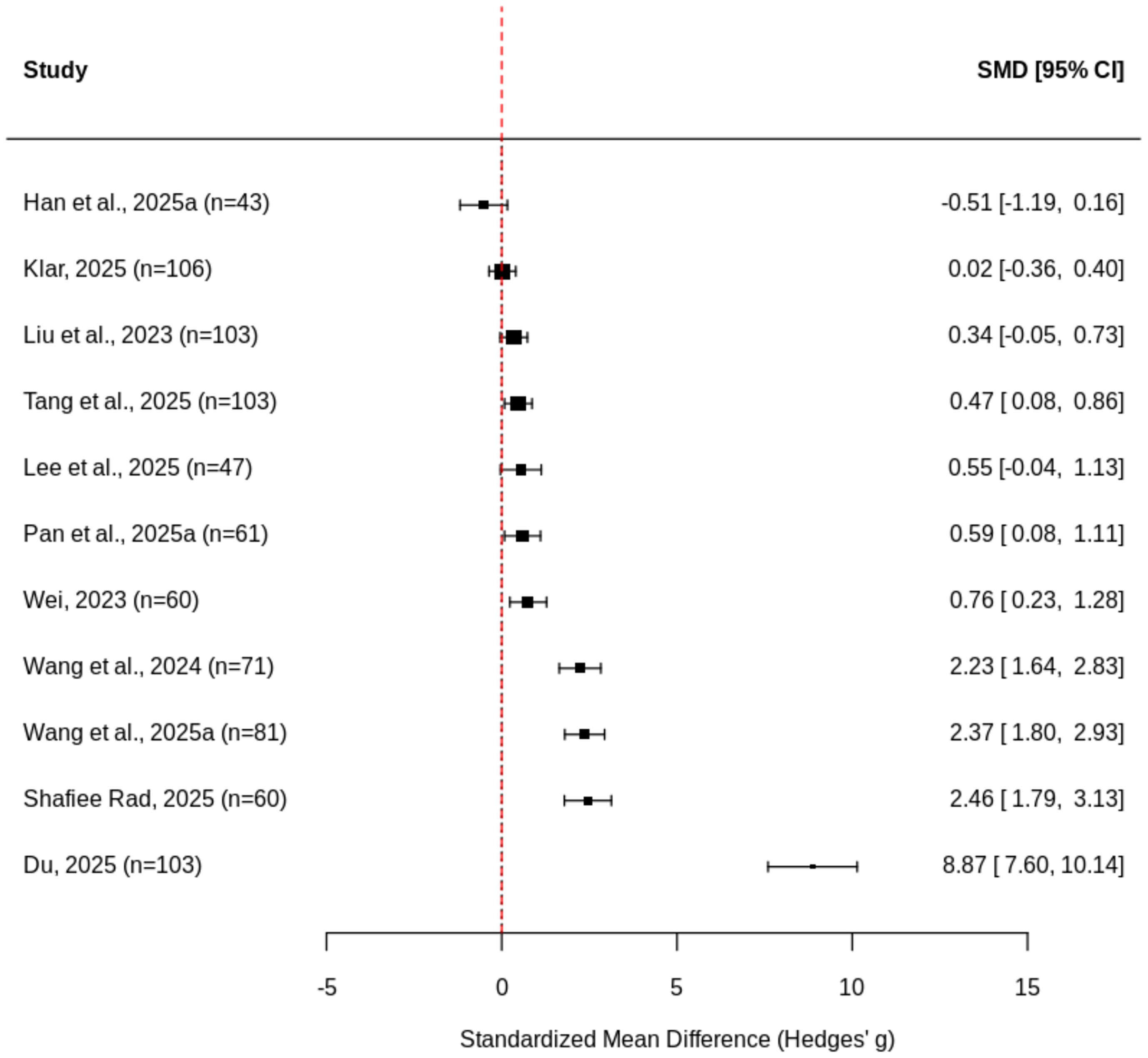
(1) 2019년부터 2025년 사이에 발표된 32개의 엄격한 실험 연구(92개의 효과 크기, 총 3,029명의 참여자)를 대상으로 함
(2) PRISMA 가이드라인을 준수하며, 랜덤 효과 모델(Random-effects models)을 적용하여 종합적인 효과 크기를 산출
(3) SRL의 3단계(준비-수행-성찰)와 3개 차원(인지, 동기, 행동), 그리고 SDL 및 학업 성취도를 분석 범위에 포함
3. 주요 발견
(1) AI 기반 중재는 학습자의 전체적인 SRL과 SDL에 매우 크고 통계적으로 유의미한 긍정적 효과를 보임
(2) (차원) 동기/정서 조절과 인지/메타인지 조절에서 유의미한 효과가 나타났으나, 행동 조절은 일관되지 않은 결과를 보임


(3) (단계) 준비(Forethought) 단계에서 가장 효과적이었으며, AI가 목표 설정과 계획 수립을 돕는 데 탁월함을 시사함. 성찰 단계도 긍정적이었으나 수행 단계의 효과는 불확실함

(4) (조절 효과) 학습자의 연령이 높을수록 AI를 통한 SRL 향상 폭이 큼
(5) (개입 특성) 개입 기간이 길수록, 그리고 단순 분석형 도구보다는 대화형/상호작용형 AI 시스템을 사용할 때 효과가 더욱 강력함
(6) (교과 영역) 언어 학습과 의학 교육 분야에서 AI의 SRL 지원 효과가 두드러짐
4. 결론 및 시사점
(1) AI가 학습자의 인지적·동기적 과정을 지원하는 적응형 스캐폴드(Adaptive Scaffold) 역할을 수행함을 입증함
(2) AI는 학습자가 학습을 시작하기 전 계획을 세우고 동기를 다지는 과정을 강력하게 지원하며, 이는 실제 학업 성취도 향상으로 이어짐
(3) 따라서 단순히 정답을 제공하는 AI가 아니라, 학습자가 자신의 학습 과정을 스스로 모니터링하고 반성할 수 있게 유도하는 상호작용 중심의 설계가 필수적임
5. 리뷰어의 ADD(+) One: 생각 더하기
(1) SRL을 차원(Dimensions)과 단계(Phases)별로 세분화하여 분석했다는 점이 탁월하며, 특히 AI가 실행(수행) 과정보다는 계획(준비) 단계에서 더 큰 영향력을 발휘한다는 발견은 교육 설계자들에게 매우 구체적인 설계 지침을 제공함
(2) 연구 결과 AI는 시간 관리나 환경 조성 같은 실제 행동을 변화시키는 데는 한계를 보였으며, 이를 극복하기 위해 현장에서는 AI의 디지털 지원과 더불어 교사의 대면 코칭을 통해 물리적 학습 환경과 습관을 잡아주는 하이브리드 지원 전략이 병행되어야 함
(3) AI 의존성 방지를 위해 교육 과정 중반 이후에는 AI의 개입을 점진적으로 줄여 학습자 스스로 자립할 수 있게 하는 페이딩 전략(Fading Strategy)을 교수 설계에 반드시 포함해야 함
6. 추가 탐구 질문
(1) AI가 제공하는 계획 지원이 장기적으로 학습자의 자발적인 계획 수립 능력을 내면화시킬까, 아니면 AI 없이는 계획을 못 세우는 기술 의존성을 심화시킬까?
(2) 행동 조절(Behavioral Regulation) 효과가 낮게 나타난 이유가 AI의 가시성 한계 때문이라면, 웨어러블 기기나 IoT 기술이 결합된 AI는 학습자의 실제 공부 습관을 변화시킬 수 있을까?
<출처> - Achuthan, K. (2025). Artificial intelligence and learner autonomy: a meta-analysis of self-regulated and self-directed learning. *Frontiers in Education, 10*, 1738751. [https://doi.org/10.3389/feduc.2025.1738751](https://doi.org/10.3389/feduc.2025.1738751) 출처>